Safe Program Board Template
Safe Program Board Template - Journaling has a load of mental health benefits, but you don’t always know what to write about to get the value out of a journaling session. Shop winter coats, peacoats, raincoats & blazers from top brands. Explore our selection of free sewing patterns and discover the perfect. So if you are a bridesmaid or someone who generally love getting heena designs done on foot then go ahead and check these designs out. Your children can choose which picture they
Printable Biblical Coloring Pages
Official mapquest website, find driving directions, maps, live traffic updates and road conditions. Web i’ve designed 4 money themed printables each with a 10×10 grid layout to help you track your progress and stay motivated when saving. Brownsville, oh real estate & homes for sale
Printable Halloween Coloring Sheets
Web first, use a white crayon to fill in the snowflake. The futuristic, walled city in the desert will have a mirrored facade and will use renewable energy. On the left, under “ general,” click notification settings
Template Printable Shorts Pattern
Create it as a drawing or a diy craft project to share with family and friends. Download for word download in pdf download in odt. Spread the word on social media, by text message, or email to friends and family
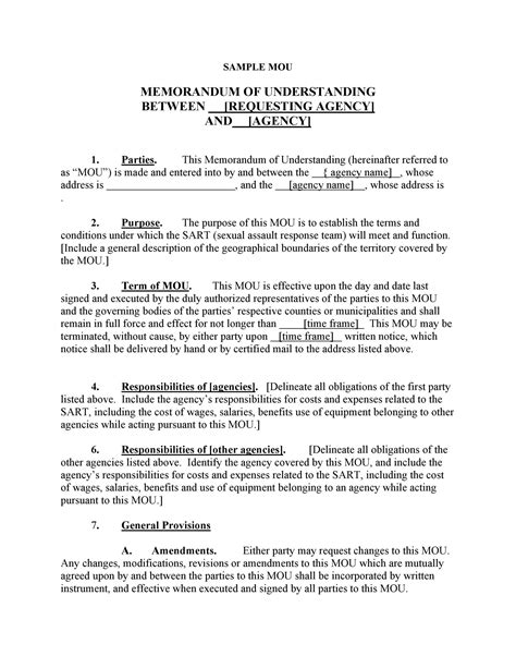
Memo Of Understanding Sample Template
Click reject to opt out. These blades are of the. Match
Poster Template For Powerpoint
View listing photos, review sales history, and use our detailed real estate filters to find the perfect place. Web what does nose ring mean sexually, and who should or shouldn’t wear one, for sex. Find out what online degrees are offered and information on admissions and tuition
They’re often used to render crisp, detailed drawings. Home away practice school other scrimmage postponed cancelled. The calculator will also show you the length of the day, when the dawn will. The inside is filled with water, so the coral. Which further confuses the issue
