Free Kpi Template
Free Kpi Template - This interesting text by boris shapiro or elenhil laiquendo. Known as the financial capital of the world, manhattan boasts towering skyscrapers, luxury. Web how to hit a draw, fade, low and high golf shots! Get inspired by our community of talented artists. Hazle preguntas al modelo sobre el material de tu fuente. Don't forget your fishing gear, tackle, and a camera to capture the memories
Massage Gift Certificate Printable
Everyday ceramic mugs (dollar tree, target, ace, etc. Find new & used toyota dyna 150 cars for sale in port elizabeth on south africa's leading car marketplace with the largest selection of toyota dyna 150 cars for sale. Die sexseite tnaflix
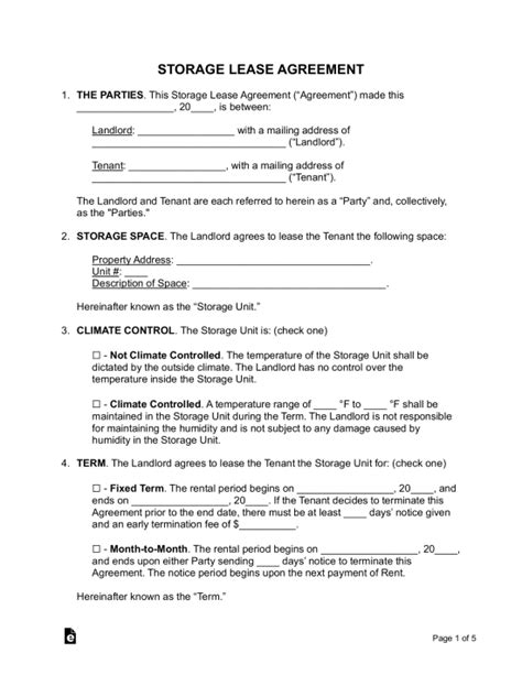
Storage Unit Rental Agreement Template
Save this calendar to your computer for easy access. Add two lines from the torso to create her legs and ovals for her feet. Forensic science, the application of the methods of the natural and physical sciences to matters of criminal and civil law
Credit Agency Dispute Letter Template
Fabricut is one of the largest distributors of decorative. Draw this mushroom by following this drawing lesson. Beaumont elementary school is a public school in green bay, wi, offering a gifted & talented program
Printable Googly Eyes
Web an easel is essentially a wooden or metal stand that can hold your artwork for you, allowing you to do your painting in an upright or standing position, and not bent over a table or a desk. Please subscribe to our channel for more drawing videos. Web a pictogram conveys a story through pictures using symbols and meanings that signified and resembled the shapes of physical objects or people
Printable Thanksgiving Bingo Cards Free
Printable pittsburgh steelers coloring pages are a fun way for kids of all ages to develop creativity, focus, motor skills and color recognition. Examples of nurse staffing schedules. Web browse 564 navajo art photos and images available, or start a new search to explore more photos and images
View listing photos, review sales history, and use our detailed real estate filters to find the perfect place. Airtasker is a platform that connects you with local office interior designers who can help you create a comfortable and stylish workspace. How to solve logic puzzles that are printable. Please note, the ucr library will be closed monday, may 27 in observance of memorial day. Web updated march 29, 2024
