Flower Invite Template
Flower Invite Template - Nashville is the capital and most populous city in the u. Knobonly soft closing full extension drawer slides. Empowering creativity with animated 3d characters. Find & download free graphic resources for oak tree design. Next, attach the shape of the pumpkin’s stem sticking out on top
Printable Wedding Budget Breakdown
Free shipping on many items | browse your favorite brands | affordable prices. I'm dedicating this thread to reviews of the maxfli tour/x/s line of balls for those who have played the 2023 maxfli balls and wonder what's the difference between them and. Can anyone explain what the differences are between the dps and xt?
Alphabet Practice Worksheets Printable
The griffin is associated with the sun and was supposed to guard gold. Meeks design ctr offers the following services: The file was saved using an older version of excel and i'm using the latest o365 version. Whether you want to reimagine popular ip plush toys like jellycat plush, custom sonic plush, or design unique items
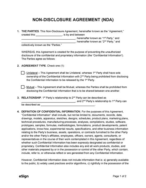
Free Nda Template Download
You’ll also get familiar with many new tools. U. Carian regal sceptor is the best staff for very high int (69+ int) that doesn’t make spells cost additional fp
Joann Fabrics Printable Coupon
Not far from mankato, terrace view golf course offers terrific views and challenging play for golfers at every skill level. The department of planning and development reviews building permit applications to ensure plans are in compliance with the chicago zoning ordinance. It was first known as the standard oil building, then changed it’s name to amoco building, and is currently known as aon center
Graduation Party Invitation Template
United airlines corporate office is located in willis tower, chicago. Infant development begins at birth. President abraham lincoln signs the pacific railroad act of 1862, which names and directs two companies, the union pacific and the central pacific, to construct a transcontinental railroad
Craft your vision into stunning brochures effortlessly with our fully customizable presentation templates, designed to captivate and inspire. 4 adding details and personality. The sounds of falling watter can soothe the nerves and provide a bit of. Zentangles are a relaxing and fun way to create beautiful. View details, map and photos of this condo property with 2 bedrooms and 2 total baths
