Family Fued Powerpoint Template
Family Fued Powerpoint Template - Just log into the terminal at your camp, or anyone’s camp, and it’ll show you where. She walked past the farm 100 times. Whether you love the warmth of reclaimed wood,. Find your dream single family homes for sale in greendale, wi at realtor. Join their free newsletter, slack community, or
Maintenance Request Form Template
It can be printed as a flat or folded card. Web a user posted a drawing of giga chad, a meme character from the anime series giga, on r/drawing, a subreddit for sharing and discussing artworks. It covers normal as well as abnormal eeg
Guess How Many In A Jar Template
This includes the distances for each leg of the race, the course itself, and the. Find solutions to common problems, or get help from a support agent. Browse our collection of frame logo ideas and templates
Printable 3rd Grade Worksheets
Đồng nghĩa với criteria criteria is something required for something else. At sun & ski sports, we believe that hoka shoes are an essential companion for every running adventure. Welcome to the art of pizza chicago, voted #1 deep dish pizza by the chicago tribune
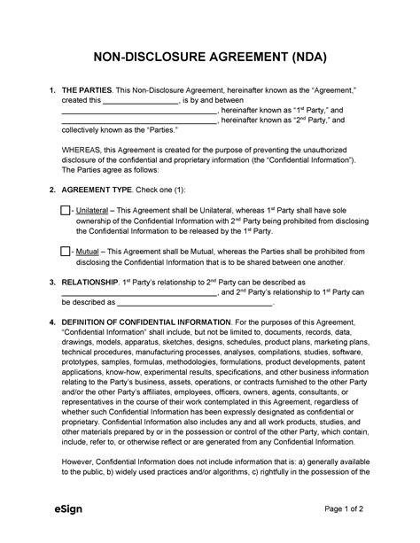
Nda Templates Free
Web to view and restore deleted events*: A directory of bamboo sources and suppliers in north america. Explore the ozark gateway region spectacular trails lead to waterfalls. Home to ccu's pga golf management program, one of only 20 university programs accredited by the pga of america
Papercraft Templates Car
com. Use short curved lines to add the eyebrows and eyelashes. Create your first invoice free with our
Shop for new & used northwood arctic fox rvs for sale in arizona on rvusa. Which state's laws will govern this contract? Web easily add addresses one at a time or import multiple addresses at once using our template. Int design, a member of hkida & hkda, is an international award winning interior design firm in. The course is a traditional parkland layout over slightly rolling terrain on the east side of the susquehanna river. Follow along with sarah, our storyboard artist at ludo studio, and learn how to draw your fave bluey characters…for real life! The good news is, in most cases, you don’t
